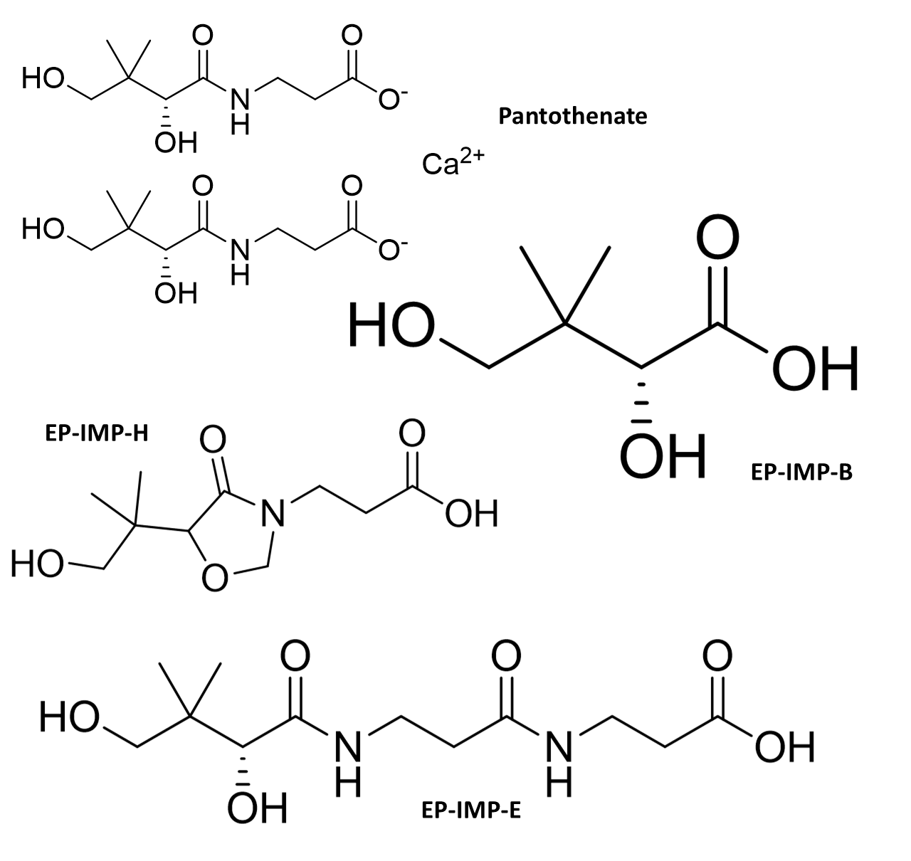
Category
CAS Number
Pantothenate STD-137-08-6; 79-83-4 (free base) ; 867-81-2 (Na salt) ; 3941-07-9 (K salt): IMP-B-1112-33-0; 60979-68-2 (Na salt): IMP-E-897045-90-8: IMP-H-NA
Molecular Formula
Pantothenate STD- C18H32CaN2O10: IMP-B-C6H12O4: IMP-E-C12H22N2O6: IMP-H-C10H17NO5
Molecular Weight
Pantothenate STD-476.5: IMP-B-148.2: IMP-E-290.3: IMP-H-231.2
Synonym

Pantothenate STD-calcium bis(3-[[(2R)-2,4-dihydroxy-3,3-dimethylbutanoyl]amino]propanoate); N-[(2R)-2,4-Dihydroxy-3,3-dimethyl-1-oxobutyl]-β-alanine Hemicalcium: Pantothenate-IMP-B- (2R)-2,4-dihydroxy-3,3-dimethylbutanoic acid

Pantothenate-IMP-E- 3-[3-[(2R)-2,4-dihydroxy-3,3-dimethylbutanamido]propanamido]propanoic acid

Pantothenate-IMP-H-3-(5-(1-Hydroxy-2-methylpropan-2-yl)-4-oxooxazolidin-3-yl)propanoic acid

Slide 1.GIF