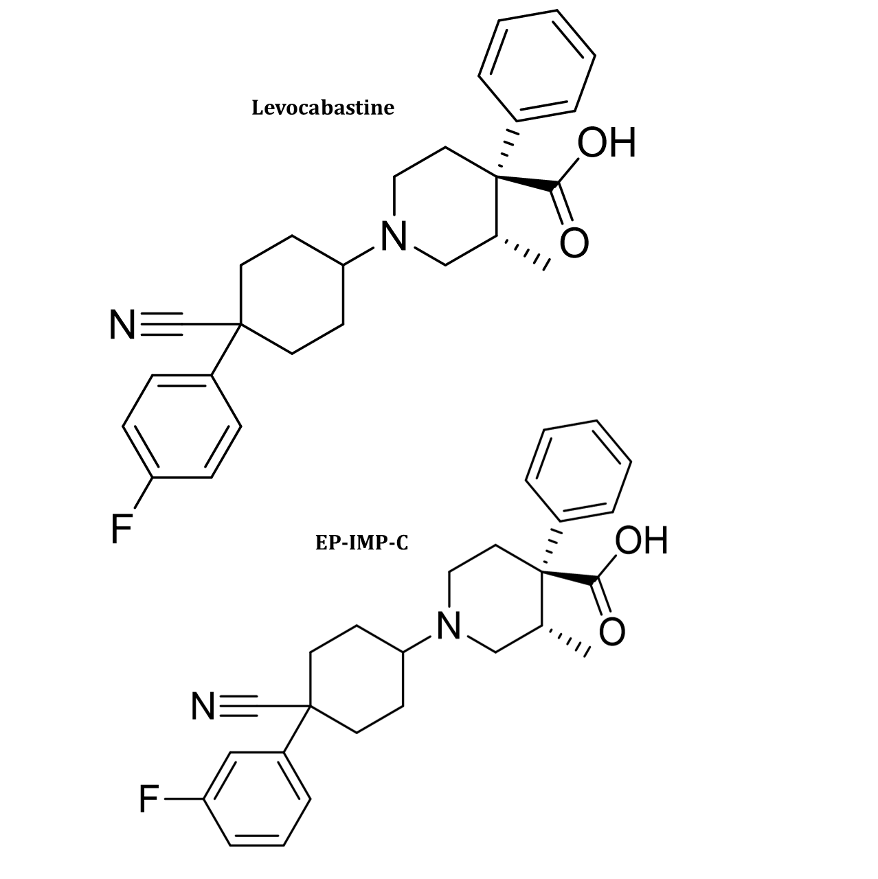
Category
CAS Number
Levocabastine STD-79516-68-0; 79547-78-7(HCl Salt): IMP-C-NA
Molecular Formula
Levocabastine STD-C26H29FN2O2: IMP-C-C26H29FN2O2
Molecular Weight
Levocabastine STD-420.53: IMP-C-420.53
Synonym

Levocabastine STD-(3S,4R)-1-[4-cyano-4-(4-fluorophenyl)cyclohexyl]-3-methyl-4-phenylpiperidine-4-carboxylic acid; (3S,4R)-1-((1s,4R)-4-Cyano-4-(4-fluorophenyl)cyclohexyl)-3-methyl-4-phenylpiperidine-4-carboxylic Acid; (3S,4R)-Cabastine Hydrochloride; Levophta; Levostin

Levocabastine-EP-Impurity-C-(3S,4R)-1-[4-cyano-4-(3-fluorophenyl)cyclohexyl]-3-methyl-4-phenylpiperidine-4-carboxylic acid

slide.1